To take part in discussions on talkSFU, please apply for membership (SFU email id required).

Logic help...desperate

edited February 2008 in General
I've been thinking about the following questions for 2 days now:

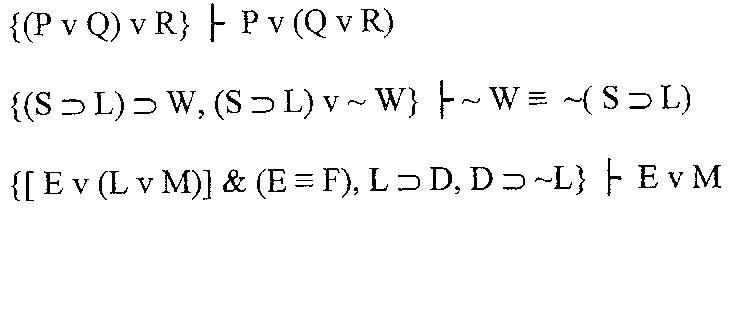
logic-1.jpg

Does anyone know how to show how each of these claims hold in SD?

Thanks!

Comments

  • edited February 2008
    Which course is this for?

    [edit] - Post #420, woooooo. :p
  • edited February 2008
    Phil 210: Natural Deductive Logic
  • edited February 2008
    Jesus fucking christ
    Dude you're on your own...
  • edited February 2008
    I got lost after (P v Q) HAHAAH. Go PHILL XX1 four semesters ago!
  • edited February 2008
    Shouldn't the first thing that Phil 210: Natural Deductive Logic teaches you is that, through Natural Deductive Logic, you should never, ever take Philosophy!? Through natural deduction, shouldn't your logic tells you that Philosophy kills.
  • edited February 2008
    Student0667;22412 said:
    Shouldn't the first thing that Phil 210: Natural Deductive Logic teaches you is that, through Natural Deductive Logic, you should never, ever take Philosophy!? Through natural deduction, shouldn't your logic tells you that Philosophy kills.
    I've been taking lots of phil courses in the past, but none logic courses. The other ones were just memorization courses.

    Anyways, I managed to write some stuff for the top and bottom ones. Still need help on the middle one.
  • edited February 2008
    W H A T T H E F U C K ?
    no seriously......
    W H A T T H E F U C K ?

    you're on your own.....
  • edited February 2008
    Jimmy Tung;22417 said:
    W H A T T H E F U C K ?
    no seriously......
    W H A T T H E F U C K ?

    you're on your own.....
    If the smartest guy in TalkSFU said "you're on your own," then you are fuc*ed.
  • edited February 2008
    yeah that is messed
    Looks like japanese to me, haha
  • edited February 2008
    Triple;22430 said:
    yeah that is messed
    Looks like japanese to me, haha
    hahaha they look like little pictograms to me. the first 7 characters of the second line looks like a body wearing a backpack with arms extended and weird boobs that's about to give the 'W' a hug.
  • edited February 2008
    *blank face and stares*

    i like meesh's explanation so i'm going to stick with that.. ^__________^
    i'm a visual learner anyway..
  • edited February 2008
    (P v Q) v R |- P v (Q v R)

    1 (PvQ) v R A 1
    2 R A(For vE) 2
    3 QvR 2,vI 2
    4 Pv(QvR) 3,vI 2
    5 PvQ A(for vE) 5
    6 P A(for vE) 6
    7 P v (Q v R) 6,vI 6
    8 Q A(for vE) 8
    9 QvR 8,vI 8
    10 P v (QvR) 9,vI 8
    11 P v (QvR) 5,6,7,8,10,vE 5
    12 P v (QvR) 1,2,4,5,11,vE 1

    QED

    Sometimes you have to do a vE inside a vE.

    Ah, the memories! I take it you don't have Jennings?
  • edited February 2008
    Okay, let's take a crack at this one:

    (S>L) > W, (S>L) v ~W |- ~W <> ~(S>L)

    1 (S>L) > W /A/ 1
    2 (S>L) v ~W /A/ 2
    3 ~W /A(for MPP)/ 3
    4 ~(S>L) /1,3,MTT/1,3
    5 ~W > ~(S>L) /3,4,MPP/1
    6 ~(S>L) /A(for MPP)/ 6
    7 ~W /2,6,MTP/ 2,6
    8 ~(S>L) > ~W /6,7,MPP/ 2
    9 {~(S>L) > ~W} & {~W > ~(S>L)} /5,8,&I/ 1,2
    10 ~W <> ~(S>L) /9,DEF<>/ 1,2

    It's just a matter of going through and applying the rules one by one.

    Good luck! It only gets HARDER from here!

    (x)(Ex&Fx>((3y)Ey)
  • edited February 2008
    By the way, if you need the proof for MTP:
    http://logik.phl.univie.ac.at/~chris/beispielskriptum/node7.html
  • edited February 2008
    Oh god, I'm taking MACM101 and this looks like the harder version of the course.

Leave a Comment